近日,我校材料科学与工程学院先进电池材料团队与复旦大学合作在国际顶级期刊《Angewandte Chemie International Edition》上发表水系锌离子电池最新研究进展。《Angewandte Chemie International Edition》是全球化学研究领域最具影响力的学术期刊之一,主要收录在化学、材料和能源等领域原创性的学术研究成果。我校为论文第一单位,徐杰副教授为论文第一作者和通讯作者,材料科学与工程学院马连波教授和复旦大学王永刚教授为共同通讯作者。研究工作得到国家自然科学基金、安徽省教育厅重点项目和安徽工业大学高层次人才启动经费的支持。
水系锌离子电池(AZIBs)在安全性和成本效益方面具有显著优势,但锌枝晶生长和不稳定的界面反应限制了其商业化应用。传统水系锌离子电池采用的是玻璃纤维隔膜,该隔膜不仅厚重(>300 mm)而且无离子选择透过性,往往造成放电中间体材料的穿梭和循环稳定性下降。除此之外,玻璃纤维隔膜需要吸纳充足电解液才能够保证离子的正常输运,但过多的电解液会进一步加速电极/电解质界面副反应的发生。解决这些问题的关键在于优化隔膜,以调控离子传输并稳定电极界面。

(使用不同隔膜的电池工作机理对比图)
团队设计了一种具有准单离子导电性的共价有机框架(COF)的隔膜,采用锌离子取代的磺酸盐COF(COF-Zn)膜,该COF-Zn隔膜具有较高的锌离子迁移数(0.87)和薄至25 mm的厚度,能够减少电解液的使用量(20μL mg-1),同时有效减少阴极溶解。这种准单离子导电性和负电性特性通过降低水活性,同时改善了锌负极的稳定性。

(改性隔膜的基本性质)


(组装的Zn/COF-Zn/PTO全电池的室温性能)

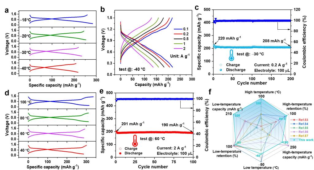
(Zn/COF-Zn/PTO全电池的在定制电解液中的全气候循环性能)
采用该隔膜实现了超稳定的AZIBs,研究验证了包括Zn//4,5,9,10-芘四酮(PTO)、Zn//I2和Zn//V2O5在内的各种全电池的性能。特别是Zn//PTO电池在贫电解液的条件下达到了260 Wh kg-1的能量密度,100%的容量保持率,并且采用定制电解液能够在-40°C至+100°C的全气候条件下稳定循环。研究成果为超稳定、宽温域稳定运行的水系锌离子电池设计提供了新的解决方案。
论文链接:https://onlinelibrary.wiley.com/doi/abs/10.1002/anie.202423118(来源:安徽工业大学)